教师的教学质量直接关系到学院的人才培养质量。为了客观、公正、全面地评价教师的教学工作,引导广大教师重视教学、研究教学、投入教学,促进学院本科教学质量不断提升,学院结合学校《评价实施方案决》,制定本学院实施方案以便遵照执行。
一、指导思想
教师教学质量综合评价应遵循教育教学和人才成长规律,坚持定性和定量相结合,科学制定评价指标体系,细化评价操作流程,确保评价的客观公正,以发挥评教的导向、激励和鉴定作用,从而促进教师教学水平的提高。
二、实施原则
1、同类可比性原则。坚持校院两级评价相结合,以学院评价为主体。
2、综合评价原则。教师教学质量综合评价包括学生评教、督导评教、领导评教、同行评教等多主体评价。
3、有利于提高教学水平原则。综合评价好的教师,学院要组织经验交流,综合评价差的教师,学院要帮助其整改提高。
4、客观、公平、公正、公开原则。教师教学质量综合评价要坚持客观、公平、公正、公开的原则,对事不对人。
三、评教体系及其实施
教师本科教学质量综合评价实施校院两级管理,以学院评价为主体。该实施方案包括评教主体、相应主体的评教指标、权重、程序,以及评教结果的应用等。
教师教学质量综合评价包括学生评教、督导评教、领导评教、同行评教等多主体评价。其中,学生评教和校级督导评教由学校组织实施,是综合评教的必备构成;学院每学期依据院级督导评教、领导评教、同行评教、学生评教等对本院所有任课教师进行综合评价,并根据这些评教数据给出本院在编在岗专任教师的教学质量综合评价结果和排名,并上报教务处审核后备案。学生评教的权重为70%。
1、学生评教。学生评教主要是以网络评教的方式进行,学生网络评教每学期一次,对本学期所学课程的所有任课教师进行网络评教。为避免部分学生的主观性及随意性导致评教数据不客观,学生评教将与教师评学相结合。任课教师可根据学生的学习态度、上课表现、平时作业、考试成绩等对学生进行评价。教师评学可以单独评学,也可以依据平时成绩或者课程成绩进行评学。
(1)该学生的该门课程平时成绩换算成权重参与学生评教对该课程该教师评价总分的计算。
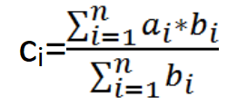
(2)计算方法
设某课程学生对老师评价分分别为ai,老师评学成绩分别为bi,则加入评学权重后,该老师该课程的评教分计算方法为

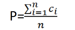
则该教师总评分p为n门课程评教分ci的算术平均值

任课教师可在网上查询本人学生评教结果,开课部门负责人可在网上查询本院部所属任课教师的学生评教结果。
2、领导和院督导评教。院、系(中心)两级领导以及院督导对教师教学状态、教学内容、教学方法、教学效果、教学管理以及各项教学任务的落实情况等进行评教。领导评教权重为10%,院督导评教的权重为10%。
3、同行评教。同行评教是指相同或相近学科或专业的教师,从专业角度以互评的方式对教师教学质量开展的评教。同行评教主要从教学态度、教学内容、教学方法、教学效果、教学研究等方面进行互评。学院负责同行评教的组织实施以及评教数据的统计分析。同行评教的权重为10%。
四、评教结果及其应用
学院以学期为周期开展教师教学质量综合评价,以自然年度为周期对在编在岗专任教师的教学质量综合评价进行排名,上报教务处审核后备案,并将备案后的数据及时反馈给教师。最终评教结果以百分制进行计分。对于教学质量综合评价排名在前10%的教师,学院在评优、评职称、评项目等评审中优先考虑。对于教学质量综合评价排名在后10%的教师,其评教结果将与职称评审挂钩。对评教结果较差的教师,学院将帮助他们分析出现的问题,提出改进的意见,以帮助他们尽快地提高教学质量。
